How much time it takes for whey protein to show results?

Well everyone is after this crucial question. How long will it take for whey protein to show results? And it is understandable. All of us who work out, want to achieve our fitness goals & have a desire to know, how whey protein is going to work. How long whey protein will take to show positive results? It’s the question that everybody asks, but the answer is not that easy. 

In this article, we will try to answer this question with the help of some established research. After reading this article you will get a fair idea that how long it will take for whey protein to work for you. 

As we all know at this point protein is one of the important macro ingredients that we need daily and it plays several important roles in our body. 

Whey protein is one of the widely used protein supplements and it is a choice of many athletes, bodybuilders, and adults for their daily protein requirements. 

Plenty of already established research shows that whey protein works, how it works, and how it helps us in muscle building and maintenance of muscles.

Many beginners and first-time buyers have this question that how long will take whey protein to show results, and it’s an obvious and fair question to ask. 

But before diving into it let me make one thing clear for all, Whey protein is not some magic powder, it’s simply a purified form of protein and a convenient way to consume it. 

For this discussion, we will assume that you are following your diet, exercise and putting all the efforts you can into your bodybuilding.

We will take a look at few pieces of  research involving whey protein supplements and their results on lean body mass as compared to other supplements and placebos. We will discuss the effect on lean body mass and how long did it take for them under controlled conditions and observation to achieve those results.

Usually, it takes up to 6 weeks for whey protein to show results

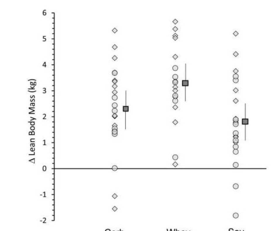
A) 3.1 kg gain in 12 weeks with Whey Supplements:

A study was published in the Journal of the American college nutrition titled “Whey Protein Supplementation during Resistance Training Augments Lean Body Mass” took the approach of comparing whey protein supplements with soy protein and carbohydrates and measured their effects on lean body mass. (1)

This research shows that whey protein did not only result in higher lean body mass gain than carbohydrate but also soy protein.

This study was one of the longest studies performed, it lasted for 96 workouts over 9 months. Body composition measurements of the subjects involved were taken at 3, 6, and 9 months. The resistance training was designed to target all muscle parts in the body and comprised of free weights and assisted exercise.

An important aspect of this research was that all the groups received about an equal protein intake through diet and soy protein and the whey group received additional protein intake through supplements.

This is very close to our real-life scenario where most of the time we consume proteins through our daily diet and want to add additional protein through supplements to achieve better results.

The results after 3 months showed significantly higher lean mass gain in the subjects consuming whey protein as compared to the carbohydrate and soy group.

As you can see the lean body mass increased significantly with the whey supplemented group as compared to the carbohydrate and soy groups.

The subjects consuming whey protein gained 3.1±1.5 kg of lean body mass at three months.

B) 2.3 kg gained in 6 Weeks with whey supplements:

A study published in the International Journal of sports nutrition and Exercise metabolism titled “The effect of whey protein supplementation with and without creatine monohydrate combined with resistance training on lean tissue mass and muscle strength” compared effects of whey protein, whey protein with creatine against placebo (Maltodextrin). (2)

Although the study was focused on the effect of whey protein with creatine as compared to whey protein and carbohydrate, we will focus on the whey protein and carbohydrate part.

What makes this 12-week study interesting is that the group of subjects (36) performed 12 weeks of resistance training for 6 weeks with supplements and 6 weeks without supplements.

The results of lean tissue mass gain were determined at 6 months and the end of the 12th week for all groups.

The subjects were given 1.2 grams/ kg of bodyweight/day of their every respective supplement.

During the resistance training, all muscle groups were targeted and the same exercise continued till the end.

The measurements for lean tissue mass and strength for all the subjects were taken before the beginning of the experiment as the baseline.

All the baseline measurements were the same for all the subjects. There was no difference in the lean tissue mass and strength in between subjects at the beginning.

Both the whey and whey with creatine reported a significant increase in the lean tissue mass from baseline.

The lean tissue mass for the whey group increased by 2.3 kg in 6 weeks with resistance training.

Now comes the interesting part, for the next 6 weeks all the three groups continued resistance exercise without any supplementation. Measurements were taken at the end of the experiment.

A point to note here, that during these six weeks all the groups consumed their required daily intake of protein through diet, meaning groups had their basic protein needs fulfilled.

There was no change found in lean tissue mass at the end of the experiment for any groups in the absence of supplements.

Resistance exercise with whey supplementation for 6 weeks resulted in a significant increase in lean tissue mass while resistance training without any supplements for 6 weeks did not increase lean tissue mass for any group.

Resistance exercise along with supplementation increased lean tissue mass, while resistance training alone did not even when the basic protein needs were fulfilled.

C) 2.5 kg gained in 8 weeks with whey supplements:

In another study published in the journal of strength and conditioning research titled “The effects of Beef, Chicken or Whey Protein after workout on body composition and Muscle performance analyzed effects of various sources of protein against carbohydrate on body mass after resistance training”(3) analyzed effects of different types of protein on lean body mass.

This experiment was included two other protein sources i.e. Beef and Chicken isolate in addition to whey protein.
Both of these protein sources are not available in India and so we will focus on the effects of Whey protein only as compared to carbohydrates.

A total of 41 subjects were selected to undergo 8 weeks of resistance training and assigned a supplement or carbohydrate randomly.

A workout regimen was designed to focus on all muscle parts and the supplements were administered after a workout.
In addition to supplements, all subjects received their daily required protein requirement through their diet.

Subject consumed about 1.6 grams of protein/ day/ kg of body weight through whey protein in addition to the regular diet.

The results show that lean body mass increased significantly when supplemented with additional protein throughout resistance training as compared with the control.

Whey protein supplementation when combined with resistance exercise increased lean body mass by 2.5 kg in 8 weeks.
This research also shows a significant decrease in fat mass with protein supplementation as compared with the control group.

Conclusion

All the research we analyzed here shows that whey protein supplementation resulted in a significant increase in lean mass as compared with control. The gain achieved was 3.1 kg in 3 months, 2.3 kg in 6 weeks, and 2.5 kg in 8 weeks respectively.

A point to note that all subjects in all the three studies including control groups received their required protein intakes through a regular diet and supplements were added on top of that.

As you can see even in the controlled conditions the gains varied for all three research groups. The gains are highly subjective and depend on various factors such as metabolic rate, biological makeup, gender, hormones, gastrointestinal flora, genetic makeup, resistance training, etc. (4)

The results can vary with individuals but consuming high-quality protein supplements can make a difference in achieving a lean mass gain. (5)

We can safely conclude with proper resistance training, diet, and additional protein supplementation with whey protein helped gain a significant amount of lean mass within 6 weeks.

All of us need protein in our diet daily, no matter where it comes from. Although whey protein offers many advantages as compared to other protein sources, consuming whey protein without any exercise, effort and discipline will not give you desired results in terms of bodybuilding

Shopping cart close